If you select any part of a Word document (diagram, text, table or any combination thereof) then press Alt+F3 (or Alt+Fn+F3) the selected area is copied to Building Blocks and you can name that selection in the table brought up. Then in any future document you only need to write the name and, with the cursor after the name, press F3 (or Fn+F3) to call up that diagram, text or table. This saves a huge amount of time when producing resources.
When you are typing the name of the Building Block for insertion, a ghostly-grey box appears above the writing – click on it before you have even finished writing the name and the Building Block appears.
Some possible uses are:
1. Instantly calling up a table rather then having to make it from scratch, as detailed here.
2. When I type ethylbenzene followed by F3 the word ethylbenzene is replaced by

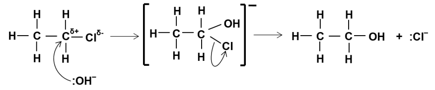
3. When I type nucleophilic substitution followed by F3 the words nucleophilic substitution are replaced by

4. When I type heat under reflux followed by F3 the words heat under reflux are replaced by

5. Every Departmental meeting has the same format which I used to copy from last week’s Departmental meeting. Now I just type Chem Dept Meeting followed by F3 and the words Chem Dept Meeting are replaced by

6. Our end-of-topic tests have a text-box and the school logo at the top of the first page. I used to copy both of these from a different test but now I type test heading followed by F3 and the words test heading are replaced by

